发烧论坛

注册

 

返回列表 «1011121314151617 / 17
发新话题 回复该主题

解放思想,试用新线源 [复制链接]

查看: 50965|回复: 165
121#

回复:解放思想,试用新线源

照单全收
TOP
122#

回复: 解放思想,试用新线源





TOP
123#

回复: 解放思想,试用新线源



最后编辑gdhzdym2 最后编辑于 2008-05-11 13:07:52
TOP
124#

回复:解放思想,试用新线源

《声效导听》在“6/真实低音”中录制了约2分钟的鼓声音乐,《皇帝位》有“鼓声演示”,《金耳朵》有“鼓诗”。
闲余,将此三碟的鼓声演绎逐一作了比较,发现《声效导听》碟的效果最为优秀,全面胜出:
1、    力度足、弹性好,刚中带柔,柔中衬出刚猛,刚柔中兼显韧性,刚性、柔性、韧性兼备;
2、鼓声真实、自然、饱满,比较鲜活,能够感觉到鼓皮震动的弹性,该有余音之处,有适当的余音回绕,让人回味,该收之处,则收得干净、利落、彻底;
3、声浪的质地结实、有力,临场感好。
三者之中,最差的一张让人感到:鼓声虽说也有声势,但显得单薄、干瘪。
TOP
125#

回复:解放思想,试用新线源

再拿金琅优2与我DIY箱相比,金琅优2的鼓声柔性好一点,但同时也比较软了一些,刚劲度显得不足;金琅优2的弹性似乎多一点,但在这一点当中又似乎带点“浮”,鼓声不够实。
从有关资料得到的数据看,两者的低频下限相差不大,金琅为55hz(《音响世界》某期),威发为60hz(该厂网页公布)。但反复对比之下,我还是喜欢威发单元的鼓声:真实、自然、饱满,在其低频所能达到的频段内,咚、咚的鼓声扎实、有力,给人以天然的浑厚感……一句话——好听!
但如果这样就说金琅优2的脚底发软,脚步带浮,为时还早,因为两者用的喇叭线的价位档次有些差别,相差了二、三百元,且牌子不同,理论上两副线材各自的特性也可能有所不同。以后再用同一线试听,如效果有改善,那就证明了线材的作用了。
TOP
126#

回复:解放思想,试用新线源

广州二沙岛的星海音乐厅,我到过的次数很少,但日常汽车发动机的引擎声,是天天必听。《声效导听》发出的引擎声,着实了得!我这对130mm的威发单元打出的声浪,让坐下的沙发垫颤动的感觉,完全与在公交车总站上车,汽车发动时震动传到硬板凳上的震颤一样,令肌肤感触到一阵阵微微发麻……一句话,让人一时以为自身置于一辆跑车之内……其临场感和逼真感,令我当时真的怀疑了几秒钟:我眼前摆的究竟是汽车发动机?还是音响器材?!突然,我太太走了进来:“你买到了汽车?”
虽然她是明知故问,但,能将她从正在追踪、热衷、陶醉中的电视连续剧中吸引过来,却也显露了这张采用了世界最新专利科技CD音效的魅力!
TOP
127#

回复: 解放思想,试用新线源




最后编辑gdhzdym2 最后编辑于 2008-05-21 22:55:39
TOP
128#

回复:解放思想,试用新线源

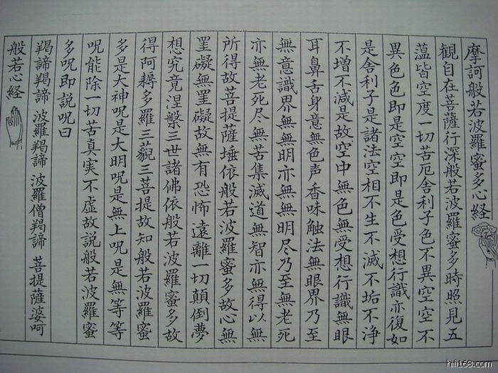
以上是佛家的《般若波羅蜜多心经》
按照中国民间传统习俗,5月19日是四川罹难同胞的 “ 头七 ” 祭日,即第一个七天。愿此经文助四川罹难同胞早日超度亡魂!
佛家认为:亡魂是可以超度的。前两天中央电视台新闻联播节目中已有某寺院众僧为超度四川罹难者亡魂诵经的报道。
这次四川汶川巨大地震中的罹难者,他们在生命终结前,可以说是极度痛苦的。
此经文是佛教的《般若波羅蜜多心经》,只要您读一遍,不论您是否能看懂,也不论您能读得通顺或不通顺,只要您能有一分善念,有一分行善之心,都可以借助佛法为逝者祈福,为罹难者送上一分愿力,助他们的亡魂早日脱离苦厄,早日得超度!
《般若波羅蜜多心经》曰:“ 观自在菩萨, 行深般若波羅蜜多时, 照见五蕴皆空, 度一切苦厄, ……能除一切苦, 真实不虚, …… ”
今天(21日),是第九天(佛家以九为周期),又看到了中央电视台新闻联播节目报道了十一世班禅大师亲自主持法会,诵经为四川死难者超度亡灵。

我们全体生活在平安地区的人,已经通过不同渠道,或捐了款,或出了力……看一遍(相不相信都没关系的,客观上也是诵读了一遍佛经)经文,也……
最后编辑gdhzdym2 最后编辑于 2008-05-26 16:53:46
TOP
129#

回复:解放思想,试用新线源

《声效导听》在弦乐方面录有《梁祝》片段,在人声方面有蔡琴的一首曲目,两者都分别提供了普通音效和采用了专利技术音效的试听。俗话说:不怕不识货,最怕货比货,特别是人声,采用了专利技术的蔡琴一声:“是谁……”声音一出,立马显现优势,撩动你的耳膜,让人的听欲大增……
TOP
130#

回复: 解放思想,试用新线源

我手中的几张蔡琴人声碟,无论从售价(买了90个大洋),或是从声效而论,此张是最高档的了,也正如它自身的广告所说:“发烧友斗机必备……音效更胜往昔”。由于该碟未录有与《声效导听》的同一首曲,无法逐声、逐句对比,只能从总体上综合把握,感觉是《声效导听》营造的声场强于、优于《机遇》。


TOP
发新话题 回复该主题