发烧论坛

注册

 

发新话题 回复该主题

为四川逝世同胞祈福 ,愿他们的亡魂早日超度 ! [复制链接]

查看: 2398|回复: 4
1#
按照中国民间传统习俗,昨天,5月19日是四川罹难同胞的 “ 头七 ” 祭日,即第一个七天。愿此经文助四川罹难同胞早日超度亡魂!
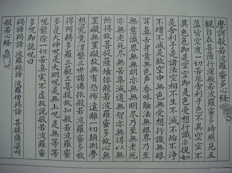
DSC01658.JPG (, 下载次数:28)

jpg(2008/5/20 13:45:12 上传)

DSC01658.JPG

最后编辑gdhzdym2 最后编辑于 2008-05-23 17:40:46
分享 转发
TOP
2#

回复:哀悼四川罹难同胞 ,愿他们的亡魂早日超度 !

以上是佛家的《般若波羅蜜多心经》。
按照中国民间传统习俗,5月19日是四川罹难同胞的 “ 头七 ” 祭日,即第一个七天。愿此经文助四川罹难同胞早日超度亡魂!
佛家认为:亡魂是可以超度的。前两天中央电视台新闻联播节目中已有某寺院众僧为超度四川罹难者亡魂诵经的报道。
这次四川汶川巨大地震中的罹难者,他们在生命终结前,可以说是极度痛苦的。
此经文是佛教的《般若波羅蜜多心经》,只要您读一遍,不论您是否能看懂,也不论您能读得通顺或不通顺,只要您能有一分善念,有一分行善之心,都可以为罹难者送上一分愿力,助他们的亡魂早日脱离苦厄,早日得超度!
《般若波羅蜜多心经》曰:观自在菩萨,行深般若波羅蜜多时,照见五蕴皆空,度一切苦厄……能除一切苦,真实不虚……
今天,又看到了中央电视台新闻联播节目报道了十一世班禅大师亲自主持法会,诵经为四川死难者超度亡灵。

我们全体生活在平安地区的人,已经通过不同渠道,或捐了款,或出了力……看一遍(相不相信都没关系)经文,也……
最后编辑gdhzdym2 最后编辑于 2008-05-25 16:43:51
TOP
3#

回复:哀悼四川罹难同胞 ,愿他们的亡魂早日超度 !

5月21日是国哀日最后一日,晚上20:00左右在佛山顺德区钟楼公园广场组织了“点燃希望”活动,在场人士高叫口号“中国加油!!四川挺住!!”
最后编辑gdsrj 最后编辑于 2008-05-22 11:45:16
阿苏
TOP
4#

回复:哀悼四川罹难同胞 ,愿他们的亡魂早日超度 !

嗯,我们这里也有,而且都是网友们自发的。
壮士豪情怀天下
英雄仗义本无名

江门市青年音响爱好者协会
TOP
5#

回复: 哀悼四川罹难同胞 ,愿他们的亡魂早日超度 !

原帖由 gdsrj 于 2008-5-22 0:31:00 发表
5月21日是国哀日最后一日,晚上20:00左右在佛山顺德区钟楼公园广场组织了“点燃希望”活动,在场人士高叫口号“中国加油!!四川挺住!!”

组织“点燃希望”活动、烛光晚会……都是广大民众弘扬善心,为逝者祈福的一种形式,俗话说:“万众一心,众志成城” !
无数善心达成的高度共识、心愿、志愿,可以形成巨大的愿力,转化为巨大的能量(万众的实际行动)来抗灾、救灾、重建家园。
佛家举行法会诵经,也是聚集万众的心愿,形成巨大的愿力为逝者祈福超度。
TOP
发新话题 回复该主题